
2014년도 서울시 7급 공무원 기계직 - 기계공작법 문제, 정답, 해설입니다. 질문, 오류 등 궁금한 사항이 있으면 댓글 남겨주세요.
<문제>
<전체정답>
12242 / 31514 / 35333 / 55422
<해설>
1. NC공작기계는 그 제어부에 컴퓨터를 내장하고 있는 것이 아니라, 단순히 테이프로부터 펄스열 등의 지령을 내리기만 하는 전용회로를 가지고 있었으나, 최근에 마이크로 컴퓨터 등으로 제어부가 구성되게 되었다. 다음 중 NC공작기계 서보 모터의 제어방식이 아닌 것은?
① 순차회로 제어방식(Progressive loop control system)
② 반폐쇄회로 제어방식(Semi-closed loop control system)
③ 개방회로 제어방식(Open loop control system)
④ 폐쇄회로 제어방식(Closed loop control system)
⑤ 복합회로 제어방식(Hybrid loop control system)
답 : ①
순차회로 제어방식은 NC공작기계 서보 모터의 제어방식에 해당하지 않는다.
2. 왁스나 파라핀처럼 열에 녹는 재료로 원형을 만든 후, 내화 슬러리(slurry)를 원형 주위에 성행하고 경화시킨 다음 열을 가하여 원형을 녹여서 주형으로부터 제거한 후 생긴 빈 공간에 쇳물을 부어 주조하는 방법은?
① 셸몰드(shell mold)법
② 인베스트먼트(investment)법
③ 다이캐스팅(die-casting)
④ 원심주조법
⑤ 풀 몰드(full mold)법
답 : ②
왁스, 파라핀, 내화 슬러리 → 인베스트먼트 주조법에 대한 설명이다.
3. 표면에 특정 홈이 있는 다이(die)나 롤(roll)을 사용하여 회전 하는 가공물을 강하게 눌러줌으로써 다이나 롤의 표면 형상으로 가공하는 소성 가공법이다. 나사나 기어, 볼(ball) 등의 가공에 이용되는 이러한 소성 가공법을 무엇이라 하는가?
① 단조
② 전조
③ 인발
④ 소결
⑤ 압인
답 : ②
전조가공에 대한 설명이다.
4. 소성 가공에 대한 설명으로 옳지 않은 것은?
① 열간가공은 재결정온도 이상에서 가공이 이루어진다.
② 열간가공시 가공물 표면이 산화되거나 탈탄이 발생할 위험이 있다.
③ 가공량이 같을 경우 냉간가공이 열간가공에 비해 동력소모가 많다.
④ 냉간가공은 가공경화가 발생하지 않는 장점이 있다.
⑤ 일반적으로 가공정밀도는 냉간가공이 열간가공보다 높다.
답 : ④
냉간가공에서는 가공경화가 발생하여 공작물의 강도, 경도가 증가하고 연성이 감소한다.
5. 다음의 절삭 공구 재료 중 탄소강이나 티타늄, 스테인레스 등의 절삭에 적합하지 않은 공구 재료는 무엇인가?
① 다결정 입방정질화붕소(PCBN)
② 다결정 다이아몬드(PCD)
③ 세라믹(ceramic)
④ 텅스텐카바이드(WC)
⑤ 고속도강(HSS)
답 : ②
다이아몬드 소재는 탄소와의 화학적 친화성 때문에 탄소강의 절삭에 적합하지 않다. 주로 비철금속의 절삭에 이용된다.
6. 2차원 절삭가공에서 전단각()에 대한 계산식을 고르시오.
(단, t, tc 및 α는 각각 절삭깊이, 칩두께 및 공구경사각임)

답 : ③

위 식에서 양변에 아크탄젠트를 취하고 칩두께비(γc)를 t/tc로 나타내면 3번의 식과 같다.
7. 위치와 치수가 정확하고 내부 표면이 매우 깨끗한 구멍을 가공한 후 구멍 입구로부터 일정 깊이까지 암나사를 형성하고자 한다. 이 때 일반적인 작업 순서로 올바른 것은?
① 센터드릴링 → 드릴링 → 리밍 → 탭핑
② 드릴링 → 센터드릴링 → 리밍 → 탭핑
③ 드릴링 → 리밍 → 센터드릴링 → 탭핑
④ 센터드릴링 → 드릴링 → 탭핑 → 리밍
⑤ 드릴링 → 탭핑 → 리밍 → 센터드릴링
답 : ①
일반적인 드릴링가공의 순서 : 센터드릴링-드릴링-보링-리밍-호닝
암나사를 형성해야 하므로 탭핑 가공이 추가되고, 보링, 호닝(다듬질)은 생략하므로 1번의 순서와 같다.
8. 테일러의 공구수명 산출식을 선택하시오. (단, T , C , V 및 n은 각각 공구수명시간, 상수, 절삭속도 및 지수임)

답 : ⑤
테일러의 공구수명식은 다음과 같다.

9. 판재(두께 2mm) 의 최대 전단응력이 50kgf/mm2인 판재에 지름이 10mm인 구멍을 뚫을 때 최대 펀치력은 얼마인가?
① 1000π[kgf]
② 1000[kgf]
③ 100π[kgf]
④ 100[kgf]
⑤ 500π[kgf]
답 : ①
전단력(=펀치력)=전단응력×전단면적

10. 계속된 연삭가공으로 숫돌바퀴의 숫돌입자가 탈락하여 절삭면의 형상이 변할 때 처음 모양으로 수정하는 작업을 의미하는 것은?
① 드레싱(Dressing)
② 밸런싱(Balancing)
③ 랩핑(Lapping)
④ 트루잉(Truing)
⑤ 디버링(Deburring)
답 : ④
숫돌바퀴를 처음 모양으로 수정 → 트루잉(truing)에 대한 설명이다.
① 드레싱(dressing) : 숫돌표면에서 로딩/글레이징이 일어난 부분을 제거하여 예리한 날이 나타나도록 하는 것
② 밸런싱(balancing) : 선삭, 연삭 등에서 회전체의 질량이 불균형하게 분포할 경우 진동에 의해 불안정해지므로 이를 바로잡는 것
③ 래핑(lapping) : 랩(lap)과 공작물 사이에 랩제와 윤활유를 넣고 공작물을 누르며 상대운동을 통해 다듬질하는 가공
⑤ 디버링(deburring) : 절삭 시 생성되는 버(burr)를 제거하는 공정. 진동피니싱, 숏블라스팅, 벨트연마, 와이어브러싱, 연마제유동가공, 열에너지법 등의 방식이 있다.
11. 센터나 척 대신 회전하는 조정숫돌과 연삭숫돌 사이에 위치한 지지대를 사용하여 원통형 공작물을 지지하고 공작물의 회전과 이송을 조정숫돌의 회전으로 조정하면서 공작물 외면을 연삭하는 작업을 무엇이라 하는가?
① 크리프-피드(creep-feed) 연삭
② 원통 연삭
③ 센터리스 연삭
④ 평면 연삭
⑤ 원통 안지름 연삭
답 : ③
센터리스 연삭(centerless grinding, 무심연삭)에 대한 설명이다.
① 크리프피드(creep-feed)연삭은 신속한 재료제거를 위해 연삭깊이가 깊고 이송속도가 낮은 대규모 연삭이다.
② 원통연삭은 숫돌바퀴의 회전 및 공작물의 회전, 이송으로 원통면을 연삭하는 것으로, 트래버스연삭, 플런지컷연삭 등이 있다.
④ 평면연삭은 공작물의 평면을 연삭하는 것으로, 숫돌바퀴의 바깥둘레 또는 숫돌바퀴의 평면을 사용하는 방식이 있다.
⑤ 원통 안지름 연삭은 구멍이 있는 원통형 공작물의 내면을 연삭하는 방법이다.
12. 연삭숫돌 결합제 중 아래의 설명에 해당하는 결합제는 무엇인가?
· 장석, 점토 및 유리원료(프릿)로 구성된 결합제로서, 연삭입자와 함께 혼합, 성형 및 건조된 이후 노에서 약 1250℃ 이상으로 가열된다. 이 결합제를 사용한 숫돌은 연삭성이 우수하고 강도가 높으며 연삭저항에 대한 탄성 변형이 적어 연삭숫돌에 매우 광범위하게 적용된다
① 레지노이드(resinoid) 결합제
② 러버(rubber) 결합제
③ 셀락(shellac) 결합제
④ 옥시클로라이드(oxychloride) 결합제
⑤ 비트리파이드(vitrified) 결합제
답 : ⑤
장석, 점토, 유리 → 비트리파이드(vitrified) 결합제에 대한 설명이다.
비트리파이드 결합제의 기호는 V이고, 장석과 점토 및 유리로 이루어져 있다. 취성이 있어 기계적 충격에 대한 저항성이 떨어진다. 또 다공질이어서 연삭력이 강하다.
13. 노 속에서 금속을 Fe3C 상태도 상의 A3 또는 Acm 온도의 60℃ 이상으로 가열하여 단일상의 오스테나이트를 만든 후, 노 속에서 꺼내어 공기 중에서 냉각시키는 열처리 방법을 선택하시오.
① 풀림
② 템퍼링
③ 불림
④ 마르퀜칭
⑤ 쇼트피팅
답 : ③
A3 또는 Acm 이상, 공기중에서 냉각 → 불림(normalizing)에 대한 설명이다.
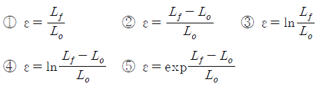
14. 재료의 인장시험에서 원래 표점거리가 Lo인 시편이 인장 시험을 통해 표점거리가 Lf 로 늘어났다. 이 때의 진변형률(true strain) ε를 구하는 식으로 옳은 것은?

답 : ③




15. 알루미늄 및 알루미나 분말에 소량의 염화암모늄을 첨가, 혼합한 침투제 속에서 강제품을 약 850℃~950℃ 정도로2~3시간 가열함으로써, 내고온산화성이 우수한 Fe-Al 합금의 피복층을 강 제품의 표면에 형성시키는 표면 처리법을 무엇이라 하는가?
① 세라다이징(sheradizing)
② 크로마이징(chromizing)
③ 칼로라이징(calorizing)
④ 보로나이징(boronizing)
⑤ 실리코나이징(siliconizing)
답 : ③
알루미늄 침투 → 칼로라이징(calorizing)
① 세라다이징 : Zn(아연) 침투
② 크로마이밍 : Cr(크롬) 침투
④ 보로나이징 : B(붕소) 침투
⑤ 실리코나이징 : Si(규소) 침투
16. 소재를 가공할 때 소성영역까지 인장시켰다가 하중을 제거한 후 하중의 방향을 바꾸어 압축하면, 압축시 항복강도가 인장시보다 작아지는 현상을 나타내는 것은?
① 영구변형
② 정수압 효과
③ 가공경화 현상
④ 스프링백 현상
⑤ 바우싱거 효과
답 : ⑤
바우싱거 효과에 대한 설명이다.
① 영구변형 : 금속재료에 탄성한도 이상의 응력을 가하면 변형이 영구적으로 생기는 현상
② 정수압 효과 : 금속재료에 압력을 가하면 소성변형의 효과를 일으키는 현상
③ 가공경화 현상 : 가공 시 전위밀도가 증가하여 강도, 경도가 증가하고 연성이 감소하는 현상
④ 스프링백 현상 : 소성변형 후 하중을 제거하면 탄성에 의해 변형 전으로 복원하는 현상
17. 석회나 실리카, 망간산화물, 칼슘불화물 등으로 이루어진 과립의 용제속에서 용접아크를 발생시킴으로써 열의 발산을 막는 역할을 하여 좁은 공간에서 급속한 고열을 발생시키는 용접법을 무엇이라 하는가?
① 가스방호 아크 용접
② 피복금속 아크 용접
③ 유심용제 아크 용접
④ 플라즈마 아크 용접
⑤ 서브머지드 아크 용접
답 : ⑤
과립의 용제속에서 용접아크를 발생 → 서브머지드 아크용접에 대한 설명이다.
18. 티그용접(TlG welding)에 대한 설명으로 옳은 것은?
① 티타늄 봉을 전극으로 사용한다.
② 용접 중 전극 소모가 많이 발생한다.
③ 용접 후 슬래그 또는 잔류용제를 제거하기 위한 후처리가 필요하다.
④ 헬륨이나 아르곤 같은 불활성 가스를 사용한다.
⑤ 산화막이 강한 금속은 용접이 어렵다.
답 : ④
불활성가스 텅스텐아크용접(tungsten inert gas welding)은 불활성가스를 사용한다.
① 텅스텐 봉을 전극으로 사용한다.
② TIG 용접에서는 전극소모가 발생하지 않는다.
③ 용접 후 후처리가 필요 없다.
⑤ TIG는 거의 모든 금속의 용접이 가능하다.
19. 방전가공에 대한 설명으로 옳지 않은 것은?
① 절연유를 가공액으로 사용한다.
② 가공 중 전극 소모가 거의 없다는 장점이 있다.
③ 재료가 도체이면 경도나 인성에 관계없이 가공이 가능하다.
④ 가공을 위해서 전극과 가공물 사이에는 간극이 있어야 한다.
⑤ 가공 속도를 높이면 가공 정밀도는 저하된다.
답 : ②
방전가공에서는 전극이 소모된다.
방전가공 - 흑연 전극 사용, 전극소모가 많음
전해가공 - 구리 또는 황동 전극 사용, 전극소모가 거의 없음
화학연마 - 전극을 사용하지 않음
20. 치공구, 대형부품, 복잡한 형상의 부품 등을 정반 위에 놓고 정반의 표면을 기준으로 하여 높이를 측정하는 측정기는?
① 마이크로미터
② 하이트게이지
③ 버니어캘리퍼스
④ 표준게이지
⑤ 블록게이지
답 : ②
치공구, 대형, 복잡한 형상의 부품 높이측정 → 하이트게이지에 대한 설명이다.
'기출문제 해설 > [서울시 7급 기계공작법]' 카테고리의 다른 글
| 【기계공작법】2018 서울시 7급 기계공작법 해설 (0) | 2022.01.20 |
|---|---|
| 【기계공작법】2017 서울시 7급 기계공작법 해설 (0) | 2022.01.19 |
| 【기계공작법】2016 서울시 7급 기계공작법 해설 (0) | 2022.01.18 |
| 【기계공작법】2015 서울시 7급 기계공작법 해설 (0) | 2022.01.17 |
| 【기계공작법】2015 서울시 연구사 기계공작법 해설 (2) | 2022.01.17 |
댓글