
2010년도 지방직 9급 기계일반 문제, 정답, 해설입니다. 질문, 오류 등 궁금사항이 있으면 댓글 남겨주세요.
<문제>
<전체정답>
12211 / 11323 / 42334 / 41423
<해설>
문 1. 절삭공구의 피복(coating) 재료로 적절하지 않은 것은?
① 텅스텐탄화물(WC)
② 티타늄탄화물(TiC)
③ 티타늄질화물(TiN)
④ 알루미늄산화물(Al2O3)
답 : ①
절삭공구의 절삭성능 및 고온경도를 강화하기 위해 초경합금의 표면에 티타늄탄화물(TiC), 티타늄질화물(TiN), 산화알루미늄(Al2O3) 등 재료를 얇게 피복한 것을 피복초경합금이라고 한다. 텅스텐탄화물(WC)는 초경합금의 재료에 쓰이지만 피복재료로는 쓰이지 않는다.
문 2. 연성 파괴에 대한 설명으로 옳지 않은 것은?
① 진전하는 균열 주위에 상당한 소성 변형이 일어난다.
② 취성 파괴보다 적은 변형률 에너지가 필요하다.
③ 파괴가 일어나기 전에 어느 정도의 네킹 현상이 나타난다.
④ 균열은 대체적으로 천천히 진전한다.
답 : ②
연성파괴는 취성파괴보다 변형 시에 필요한 에너지가 크다. 연성파괴의 경우 파단까지의 응력 및 변형률이 취성파괴의 경우보다 훨씬 큰 값을 필요로 하고, 따라서 σε/2(=단위부피당 변형률에너지)로 나타나는 변형률에너지의 값 역시 크다.
※연성파괴와 취성파괴
연성파괴 - 컵 앤 콘(cup and cone)파괴라고도 하며, 네킹에 의한 미세공동에 의한 균열이 발생한다. 소성변형이 상당히 일어난 후에 파괴되며 균열이 천천히 발생한다. 인장하중에 인장하중에 45각도 방향으로 일어나며 취성파괴보다 큰 변형률에너지가 필요하다.
취성파괴 - 온도가 낮을수록 잘 일어나고 변형속도가 빠르다. HCP(조밀육방격자) 구조에서 잘 일어난다.
문 3. 재료시험 항목과 시험방법의 관계로 옳지 않은 것은?
① 충격시험:샤르피(Charpy)시험
② 크리프시험:표면거칠기시험
③ 연성파괴시험:인장시험
④ 경도시험:로크웰경도시험
답 : ②
크리프시험은 재료의 크리프강도(일정한 하중 및 고온에서 크리프에 의한 변형에 저항하는 정도)를 측정할 때 쓰인다.
표면거칠기의 시험에는 촉각 또는 시각과 비교용 표준편을 이용한 방법, 촉침법(접촉식), 광학간섭측정(비접촉식), 원자현미경(비접촉식) 등이 있다.
문 4. 탄소가 흑연 박편의 형태로 석출되며 내마모성이 우수하고 압축강도가 좋으며 엔진 블록, 브레이크 드럼 등에 사용되는 재료는?
① 회주철(gray iron)
② 백주철(white iron)
③ 가단주철(malleable iron)
④ 연철(ductile iron)
답 : ①
흑연 박편 형태 → 회주철에 대한 설명이다.
※주철의 종류에 따른 흑연의 모양 : 회주철 - 얇은 조각(박편) / 펄라이트주철 - 활모양 / 가단주철 - 포도송이 / 구상흑연주철 - 구상
문 5. 스플라인 키의 특징인 것은?
① 축에 원주방향으로 같은 간격으로 여러 개의 키 홈을 깎아 낸 것이다.
② 큰 토크를 전달하지 않는다.
③ 키 홈으로 인하여 축의 강도가 저하된다.
④ 키와 축의 접촉면에서 발생하는 마찰력으로 회전력을 발생시킨다.
답 : ①
스플라인 키는 여러 개의 키홈을 깎아 내어 큰 전달력 및 토크를 얻을 수 있는 방식의 키이다.
③ 반달키(우드러프키)에 대한 설명이다.
④ 스플라인키의 경우 마찰력(접촉면에 평행)이 아닌 접촉면을 통해 직접(접촉면에 수직) 하중을 전달하여 회전시킨다. 묻힘키, 평키, 안장키의 경우 접촉면에서의 마찰력으로 회전력을 발생시킨다.
문 6. 사각나사의 나선각이 λ, 나사면의 마찰계수 μ에 따른 마찰각이 ρ (μ=tan ρ)인 사각나사가 외부 힘의 작용 없이 스스로 풀리지 않고 체결되어 있을 자립 조건은?
① ρ≥λ
② ρ≤λ
③ ρ<λ
④ ρ 및 λ와 상관없음
답 : ①
나사의 자립조건 : 마찰각이 나선각보다 같거나 클 때 (ρ≥λ)
만약 마찰각이 나선각보다 작다면 외력이 없을 때 스스로 풀리게 된다.
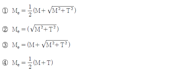
문 7. 굽힘 모멘트 M과 비틀림 모멘트 T를 동시에 받는 축에서 최대주응력설에 적용할 상당 굽힘모멘트 Me은?

답 : ①
굽힘 모멘트 M과 비틀림 모멘트 T를 동시에 받는 축에서 최대주응력설에 의한 상당굽힘모멘트(Me)와 최대전단응력설에 의한 상당비틀림모멘트(Te)는 각각 다음과 같다.


문 8. 두께가 6 mm이고 안지름이 180 mm인 원통형 압력용기가 14 kgf/cm2의 내압을 받는 경우, 이 압력용기의 원주 방향 및 축 방향 인장응력[kgf/cm2]은?
원주 방향 / 축 방향
① 210 / 420
② 420 / 840
③ 210 / 105
④ 420 / 210
답 : ③


단, σ₁ : 원주방향 인장응력, σ₂ : 축방향 인장응력, p : 내압, d : 안지름, t : 두께
문 9. 다음 중 유성기어장치에 대한 설명으로 옳은 것은? (단, 내접기어 잇수는 ZI, 태양기어 잇수는 ZS 이며 ZI > ZS 이다)

① 태양기어를 고정하고 캐리어를 구동할 경우 내접기어는 감속한다.
② 캐리어를 고정하고 내접기어를 구동할 경우 태양기어는 역전증속한다.
③ 내접기어를 고정하고 태양기어를 구동할 경우 캐리어는 증속한다.
④ 태양기어를 고정하고 내접기어를 구동할 경우 캐리어는 역전감속한다.
답 : ②
| 태양기어 | 캐리어 | 내접기어 | 각속도비 | 결과 |
| 고정 | 구동 | 피동 | 증속 | |
| 피동 | 구동 | 감속 | ||
| 구동 | 고정 | 피동 | 역전감속 | |
| 피동 | 구동 | 역전증속 | ||
| 구동 | 피동 | 고정 | 감속 | |
| 피동 | 구동 | 증속 |
캐리어를 고정하고 내접기어를 구동하면 태양기어는 역전증속한다.
① 태양기어 고정, 캐리어 구동 시 증속한다.
③ 내접기어 고정, 태양기어 구동 시 감속한다.
④ 태양기어 고정, 내접기어 구동 시 감속한다.
문 10. 다음 중 플라스틱의 성형과 관계없는 가공 공정은?
① 압출성형
② 사출성형
③ 인발성형
④ 압축성형
답 : ③
플라스틱 성형법에는 압출성형, 사출성형, 블로우성형(취입성형), 열성형, 전이(전사)성형, 압축성형 등이 있다.
문 11. 원심주조와 다이캐스트법에 대한 설명으로 옳지 않은 것은?
① 원심주조법은 고속회전하는 사형 또는 금형주형에 쇳물을 주입하여 주물을 만든다.
② 원심주조법은 주로 주철관, 주강관, 실린더 라이너, 포신 등을 만든다.
③ 다이캐스트법은 용융금속을 강한 압력으로 금형에 주입하고 가압하여 주물을 얻는다.
④ 다이캐스트법은 주로 철금속 주조에 사용된다.
답 : ④
다이캐스팅법에서 다이(die)의 내열강도의 한계 때문에 주로 용융점이 낮은 비철금속의 주조에 사용된다.
문 12. 항복 인장응력이 Y인 금속을 소성영역까지 인장시켰다가 하중을 제거하고 다시 압축을 하면 압축 항복응력이 인장 항복응력 Y보다 작아지는 현상이 있다. 이러한 현상과 관련이 없는 것은?
① 변형율 연화
② 스프링 백
③ 가공 연화
④ 바우싱어(Bauschinger) 효과
답 : ②
스프링백(spring back)현상은 재료를 굽힘 가공했다가 외력을 제거하면 조금씩 원래의 형상으로 돌아가는 현상을 말한다. 이것은 재료의 탄성복원 현상과 관련이 있으나, 인장하였다가 압축 시 항복응력이 감소하는 현상과는 관계 없다.
재료를 한 방향으로 소성영역까지 힘을 가한 후 힘을 제거하면 반대방향으로의 항복응력이 감소하게 되는데, 이를 바우싱거 효과(Bauschinger effect)라 하고, 이 성질로 인해 금속재료에서 가공연화(work softening) 또는 변형(률)연화(strain softening)가 나타난다. 소재를 굽혔다 펴는 작업, 판재의 교정압연, 역드로잉 등의 가공에서 나타난다.
문 13. 다음 중 잔류응력에 대한 설명으로 옳은 것으로만 묶인 것은?
ㄱ. 표면에 남아 있는 인장잔류응력은 피로수명과 파괴강도를 향상시킨다.
ㄴ. 표면에 남아 있는 압축잔류응력은 응력부식균열을 발생시킬 수 있다.
ㄷ. 표면에 남아 있는 인장잔류응력은 피로수명과 파괴강도를 저하시킨다.
ㄹ. 잔류응력은 물체 내의 온도구배(temperature gradient)에 의해 생길 수 있다.
ㅁ. 풀림처리(annealing)를 하거나 소성변형을 추가시키는 방법을 통하여 잔류응력을 제거하거나 감소시킬 수 있다.
ㅂ. 실온에서도 충분한 시간을 두고 방치하면 잔류응력을 줄일 수 있다.
① ㄱ, ㄴ, ㅁ, ㅂ
② ㄴ, ㄷ, ㄹ, ㅁ
③ ㄷ, ㄹ, ㅁ, ㅂ
④ ㄱ, ㄴ, ㄷ, ㄹ
답 : ③
ㄱ. 표면에 남아 있는 인장잔류응력은 피로수명과 파괴강도를 저하시키며 응력부식균열을 발생시킬 수 있다.
ㄴ. 표면에 남아 있는 압축잔류응력은 피로수명과 파괴강도를 향상시킨다.
※잔류응력의 원인 3가지 : 소성변형, 상변화, 온도구배
※잔류응력의 제거방법 : 잔류응력은 풀림(annealing)처리 또는 추가적인 소성변형으로 제거할 수 있고, 실온에서도 충분한 시간을 두고 방치하면 잔류응력을 줄일 수 있다.
문 14. 열간가공과 냉간가공에 대한 설명으로 옳은 것은?
① 열간가공은 냉간가공에 비해 표면 거칠기가 향상된다.
② 열간가공은 냉간가공에 비해 정밀한 허용치수 오차를 갖는다.
③ 일반적으로 열간가공된 제품은 냉간가공된 같은 제품에 비해 균일성이 적다.
④ 열간가공은 냉간가공에 비해 가공이 용이하지 않다.
답 : ③
일반적으로 열간가공된 제품은 냉간가동된 제품에 비해 균일성이 적다.
①②④ 냉간가공에 대한 설명이다.
※열간가공과 냉간가공
열간가공 - 재결정온도 이상에서 가공. 한번의 가공으로 많은 변형. 가공시간 적고 소요동력이 적다. 가공면이 거칠고 치수변화가 크다. 표면이 산화될 우려가 있고 균일성이 적다.
냉간가공 - 재결정온도 이하에서 가공. 가공이 용이하지 않으며 가공시간 및 소요동력이 크다. 가공면이 깨끗하고 정밀하다. 가공경화로 인해 강도가 증가하고 연성이 감소하며 이방성이 생긴다.
문 15. 증기원동기의 증기동력 사이클과 가장 가까운 사이클은?
① 오토 사이클
② 디젤 사이클
③ 브레이톤 사이클
④ 랭킨 사이클
답 : ④
증기동력 사이클에는 랭킨 사이클(Rankine cycle) 또는 카르노 사이클(Carnot cycle)이 있다.
※열역학 사이클의 분류
- 정적 사이클(오토 사이클) : 가솔린 기관에 이용.
- 정압 사이클(디젤 사이클) : 저/중속 디젤 기관에 이용.
- 복합 사이클(사바테 사이클) : 고속 디젤 기관에 이용.
- 가스 터빈 사이클(브레이튼 사이클)
- 증기 동력 사이클(랭킨사이클 및 카르노 사이클)
문 16. 열처리에 대한 설명으로 옳지 않은 것은?
① 완전 풀림처리(Full annealing)에서 얻어진 조직은 조대 펄라이트(Pearlite)이다.
② 노말라이징(Normalizing)은 강의 풀림처리에서 일어날 수 있는 과도한 연화를 피할 수 있도록 공기중에서 냉각하는 것을 의미한다.
③ 오스템퍼링(Austempering)은 오스테나이트(Austenite)에서 베이나이트(Bainite)로 완전히 등온변태가 일어날 때까지 특정 온도로 유지한 후 공기중에서 냉각한다.
④ 스페로다이징(Spherodizing)은 미세한 펄라이트 구조를 얻기 위해 공석온도 이상으로 가열한 후 서냉하는 공정이다.
답 : ④
스페로다이징(spherodizing)은 연성과 가공성이 좋은 구상펄라이트를 얻기 위해 시행하며 공석온도(A1) 이하로 가열 후 서냉하는 공정이다.
③ 오스템퍼링은 오스테나이트를 Ms온도 이상으로 항온유지하여 등온변태를 통해 베이나이트를 얻는 항온열처리 과정이다.
문 17. 유압펌프의 특성에 대한 설명으로 옳지 않은 것은?
① 기어펌프는 구조가 간단하고 신뢰도가 높으며 운전보수가 비교적 용이할 뿐만 아니라 가변토출형으로 제작이 가능하다는 장점이 있다.
② 베인펌프의 경우에는 깃이 마멸되어도 펌프의 토출은 충분히 행해질 수 있다는 것이 장점이다.
③ 피스톤 펌프는 다른 펌프와 비교해서 상당히 높은 압력에 견딜 수 있고, 효율이 높다는 장점이 있다.
④ 일반적으로 용적형 펌프(Positive displacement pump)는 정량 토출을 목적으로 사용하고, 비용적형 펌프(Non-positive displacement pump)는 저압에서 대량의 유체를 수송하는 데 사용된다.
답 : ①
기어펌프는 가변토출형으로 제작이 불가능하다.
※펌프의 분류와 특징
1) 용적형 - 정량토출 목적
- 베인펌프 : 회전자(rotor)의 회전에 의하여 유체를 송출하는 용적형 회전펌프. 깃이 원심력이나 스프링의 장력에 의하여 벽에 밀착되면서 회전하여 유체를 운반한다. 깃이 마멸되어도 펌프의 토출은 충분히 행해질 수 있음
- 기어펌프 : 기어를 사용하여 액체를 밀어내는 회전펌프. 구조가 간단, 신뢰도가 높고 운전보수가 용이, 가변토출형으로 제작이 불가능, 내부누설이 비교적 많음
- 나사펌프 : 나사를 사용하여 액체를 밀어내는 회전펌프.
- 피스톤펌프 : 실린더 내에서 유체를 가압하여 송출하는 용적형 왕복펌프. 비교적 높은 압력에 견딜수 있고, 효율이 높다. 회전수에 제한을 받지 않아 고양정에 적합.
- 플런저 펌프 : 플런저의 왕복운동으로 실린더 내부에 용적 변화를 일으켜 송출하는 용적형 왕복펌프.
2) 터보형(비용적형) - 저압에서 대량의 유체 수송 목적
- 원심펌프 : 회전차(impeller)를 회전하여 발생하는 원심력으로 송출하는 터보형 원심펌프(안내깃 존재 시 터빈펌프, 안내깃 부재 시 벌류트펌프)
- 축류펌프 : 송출량이 매우 커서 유체가 회전차의 축방향으로 유입되고 유출되는 터보형 축류펌프. 케이싱, 임펠러, 안내 날개(2~8개), 베어링 등으로 구성. 유량이 크고 저양정인 경우에 사용. 농업용의 양수 및 배수용, 상하수도용.
3) 특수형 - 와류펌프, 진공펌프, 기포펌프, 제트펌프, 마찰펌프 등
문 18. 4사이클 기관과 2사이클 기관을 비교할 때 2사이클 기관의 장점이 아닌 것은?
① 2사이클 기관은 4사이클 기관에 비하여 소형 경량으로 할 수 있다.
② 2사이클 기관은 구조가 간단하여 저가로 제작할 수 있다.
③ 이론적으로는 4사이클 기관의 2배의 출력을 얻게 된다.
④ 2사이클 기관은 4사이클 기관에 비하여 연료소비가 적다.
답 : ④
2사이클 기관은 4사이클 기관에 비하여 연료 소모가 많다.
※2사이클 기관과 4사이클 기관
- 2사이클 기관은 크랭크축의 1회전(피스톤의 2행정) 동안 흡입, 압축, 폭발, 배기의 과정을 거친다. 4사이클 기관은 크랭크축의 2회전(피스톤의 4행정) 동안 흡입, 압축, 폭발, 배기의 과정을 거친다.
- 2사이클 기관의 4사이클 기관에 대한 장/단점 : 출력이 높다(이론상 2배이나 실제로는 1.6~1.7배). 체적효율과 평균압력이 낮다. 중량이 가볍고 구조가 간단하며 소형화가 가능하고 제작비가 싸다. 회전력이 균일하고 진동이 적다. 연소과정이 짧고 연료 소모가 많다. 회전속도의 제한이 있다. 소음과 과열의 우려가 있다. 오염물질의 배출이 많다.
문 19. 그림과 같은 수평면에 놓인 50 kg무게의 상자에 힘 P=400N으로 5초 동안 잡아 당긴 후 운동하게 되는 상자의 속도[m/sec]와 가장 가까운 값은? (단, 상자와 바닥면간의 마찰계수는 0.3이다)

① 10
② 25
③ 40
④ 50
답 : ②
중력가속도를 10m/s²로 가정하면, 운동마찰력 f는 다음과 같이 구할 수 있다. (μ : 마찰계수, m : 질량, g : 중력가속도)

마찰력과 외력 P는 반대 방향으로 작용하므로 알짜힘의 크기는 400-150=250N이다. 가속도 a를 다음과 같이 구할 수 있다.

5초 동안 잡아당겼으므로, 속력 v를 다음과 같이 구할 수 있다.

문 20. 높은 경도의 금형 가공에 많이 적용되는 방법으로 전극의 형상을 절연성 있는 가공액 중에서 금형에 전사하여 원하는 치수와 형상을 얻는 가공법은?
① 전자빔가공법
② 플라즈마 아크 가공법
③ 방전가공법
④ 초음파가공법
답 : ③
절연성 있는 가공액 → 방전가공법에 대한 설명이다.
① 전자빔가공은 전자의 운동에너지를 열에너지로 전환하여 공작물을 용융시켜 원하는 형상으로 가공하는 방법이다.
② 플라즈마 아크 가공은 아크방전을 일으켜 형성된 플라즈마를 분출시켜 고온, 고에너지를 이용하여 재료를 가공하는 방법이다.
④ 초음파가공법은 연삭입자와 가공액의 상하진동을 통해 전기에너지를 기계적에너지로 전환하여 가공한다.
'기출문제 해설 > [지방직 9급 기계일반]' 카테고리의 다른 글
| 【기계일반】2014 지방직 9급 기계일반 해설 (1) | 2022.02.11 |
|---|---|
| 【기계일반】2013 지방직 9급 기계일반 해설 (0) | 2022.02.10 |
| 【기계일반】2012 지방직 9급 기계일반 해설 (0) | 2022.02.08 |
| 【기계일반】2011 지방직 9급 기계일반 해설 (4) | 2022.02.08 |
| 【기계일반】2009 지방직 9급 기계일반 해설 (6) | 2022.02.06 |






댓글